深圳市高级中学高中园面向2023年应届毕业生公开招聘教师第一批体检合格名单公示
2023-08-05 14:40

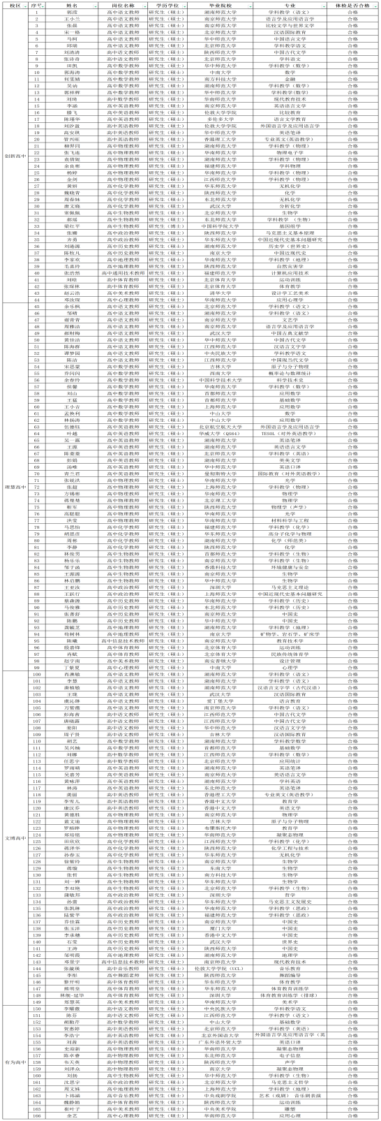
一、2023年深圳市高级中学高中园面向2023年应届毕业生公开招聘教师第一批体检合格名单(请见附表)

二、公示时间:2023年8月5日-8月13日

三、公示期间如有任何异议,可以通过电话、约谈或其他方式,向学校反映公示对象的有关情况和问题。

联系电话:(0755) 8529 6020

 

附件下载